题目内容
如图,有一块边长为1(百米)的正方形区域ABCD,在点A处有一个可转动的探照灯,其照射角∠PAQ始终为45°(其中点P,Q分别在边BC,CD上),设∠PAB=θ,tanθ=t.(1)用t表示出PQ的长度,并探求△CPQ的周长l是否为定值.
(2)问探照灯照射在正方形ABCD内部区域的面积S至多为多少(平方百米)?
【答案】分析:(1)利用已知条件,结合直角三角形,直接用t表示出PQ的长度,然后推出△CPQ的周长l为定值.
(2)利用S=S正方形ABCD-S△ABP-S△ADQ,推出探照灯照射在正方形ABCD内部区域的面积S,利用基本不等式求出面积的最小值(平方百米).
解答:
解:(1)BP=t,0≤t≤1,
∠DAQ=45°-θ,DQ=tan(45°-θ)=
,
CQ=1-
=
,
∴PQ=
=
=
.
∴l=CP+CQ+PQ
=1-t+
+
=1-t+1+t=2.
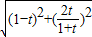
(2)S=S正方形ABCD-S△ABP-S△ADQ
=1-
-
=2-
≤2
.
当t=
时取等号.
探照灯照射在正方形ABCD内部区域的面积S至多为2
(平方百米).
点评:本题考查三角形的实际应用,函数值的求法,基本不等式的应用,考查计算能力.
(2)利用S=S正方形ABCD-S△ABP-S△ADQ,推出探照灯照射在正方形ABCD内部区域的面积S,利用基本不等式求出面积的最小值(平方百米).
解答:
∠DAQ=45°-θ,DQ=tan(45°-θ)=
CQ=1-
∴PQ=
∴l=CP+CQ+PQ
=1-t+
=1-t+1+t=2.
(2)S=S正方形ABCD-S△ABP-S△ADQ
=1-
≤2
当t=
探照灯照射在正方形ABCD内部区域的面积S至多为2
点评:本题考查三角形的实际应用,函数值的求法,基本不等式的应用,考查计算能力.
练习册系列答案
相关题目