题目内容
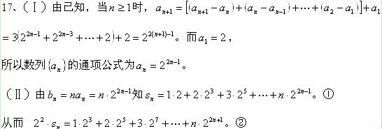
设数列满足。
⑴求数列的通项公式。⑵令,求数列的前项和
①—②得,即。
(09年北京四中期中)(14分)已知函数,数列中, .当取不同的值时,得到不同的数列,如当时, 得到无穷数列;当时, 得到有穷数列
(1) 求的值,使得;
(2) 设数列满足,求证:不论取中的任何数, 都可以得到一个有穷数列;
定义:若数列满足,则称数列为“平方递推数列”。已知数列中,,点在函数的图像上,其中为正整数。
(1)证明:数列是“平方递推数列”,且数列为等比数列。
(2)设(1)中“平方递推数列”的前项之积为,即,求数列的通项及关于的表达式。
(3)记,求数列的前项之和,并求使的的最小值。
(本小题满分16分)已知数列在函数的图象上,数列满足 (1)求数列的通项公式;(2)证明列数是等比数列,并求数列的通项公式;(3)设数列满足对任意的
成立,的值。
(本题满分16分)设数列满足,令. ⑴试判断数列是否为等差数列?并说明理由;⑵若,求前项的和;⑶是否存在使得三数成等比数列?
(本题满分16分)
设数列满足,令.
⑴试判断数列是否为等差数列?并说明理由;
⑵若,求前项的和;
⑶是否存在使得三数成等比数列?