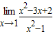
题目内容

等于( )
A.
B.
C.1
D.0
【答案】分析:把极限符号后面的代数式分子因式分解后和分母约分,则极限值可求.
解答:解:=
故选A.
点评:本题考查了极限及其运算,关键是消掉分母中的“0”项,是基础题.
练习册系列答案
相关题目

违法和不良信息举报电话:027-86699610 举报邮箱:58377363@163.com

精英家教网