题目内容
在△ABC中,sin(C-A)=1,sinB=
,
(1)求sinA的值;
(2)设AC=
,求△ABC的面积。
(1)求sinA的值;
(2)设AC=
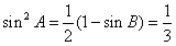
| 解:(1)由sin(C-A)=1得C-A= ∴A= ∴sinA=sin ∴ 又sinA>0, ∴sinA= |
|
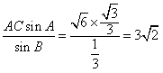
| (2)如图, 由正弦定理得 ∴BC= 又sinC=sin(A+B)=sinAcosB+cosAsinB ∴S△ABC= |
练习册系列答案
相关题目
在△ABC中,“sin(A-B)cosB+cos(A-B)sinB≥1”是“△ABC是直角三角形”的( )
| A、充分不必要条件 | B、必要不充分条件 | C、充分必要条件 | D、既不充分也不必要条件 |