题目内容

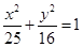
以椭圆的顶点为顶点,离心率为的双曲线方程(     )

A.                  B.

C.     D.以上都不对

 

【答案】

C

【解析】

试题分析:因为椭圆方程为: 所以分两种情况讨论.

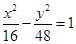
⑴当顶点为时, ,则双曲线方程为:

⑵当顶点为时, ,则双曲线方程为:;故选C

考点:圆锥曲线问题,椭圆与双曲线有共同顶点问题.

 

练习册系列答案
相关题目

违法和不良信息举报电话:027-86699610 举报邮箱:58377363@163.com

精英家教网