题目内容
若直线x-y=2被圆(x-a)2+y2=4所截得的弦长为A.-1或
B.1或3
C.-2或6
D.0或4
【答案】分析:由圆的方程,得到圆心与半径,再求得圆心到直线的距离,由
求解.
解答:解:∵圆(x-a)2+y2=4
∴圆心为:(a,0),半径为:2
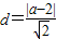
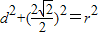
圆心到直线的距离为:
∵
解得a=4,或a=0
故选D.
点评:本题主要考查直与圆的位置关系及其方程的应用,是常考题型,属中档题.
解答:解:∵圆(x-a)2+y2=4
∴圆心为:(a,0),半径为:2
圆心到直线的距离为:
∵
解得a=4,或a=0
故选D.
点评:本题主要考查直与圆的位置关系及其方程的应用,是常考题型,属中档题.
练习册系列答案
相关题目
若直线x-y=2被圆(x-a)2+y2=4所截得的弦长为2
,则实数a的值为( )
| 2 |
A、-1或
| ||
| B、1或3 | ||
| C、-2或6 | ||
| D、0或4 |