题目内容
已知函数f(x)=x2+2alnx.(Ⅰ)若函数f(x)的图象在(2,f(2))处的切线斜率为1,求实数a的值;
(Ⅱ)求函数f(x)的单调区间;
(Ⅲ)若函数
【答案】分析:(Ⅰ)先对函数求导,然后由由已知f'(2)=1,可求a
(II)先求函数f(x)的定义域为(0,+∞),要判断函数的单调区间,需要判断导数
的正负,分类讨论:分(1)当a≥0时,(2)当a<0时两种情况分别求解
(II)由g(x)可求得g′(x),由已知函数g(x)为[1,2]上的单调减函数,可知g'(x)≤0在[1,2]上恒成立,即
在[1,2]上恒成立,要求a的范围,只要求解
,在[1,2]上的最小值即可
解答:解:(Ⅰ)
…(1分)
由已知f'(2)=1,解得a=-3.…(3分)
(II)函数f(x)的定义域为(0,+∞).
(1)当a≥0时,f'(x)>0,f(x)的单调递增区间为(0,+∞); …(5分)
(2)当a<0时
.
当x变化时,f'(x),f(x)的变化情况如下:
由上表可知,函数f(x)的单调递减区间是
;
单调递增区间是
.…(8分)
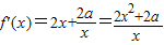
(III)由
得
,…(9分)
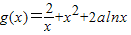
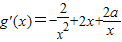
由已知函数g(x)为[1,2]上的单调减函数,
则g'(x)≤0在[1,2]上恒成立,
即
在[1,2]上恒成立.
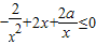
即
在[1,2]上恒成立.…(11分)
令
,在[1,2]上
,
所以h(x)在[1,2]为减函数.
,
所以
.…(14分)
点评:本题主要考查了函数的导数的求解,利用导数判断函数的单调区间,体现了分类讨论思想的应用,及函数的恒成立与函数的最值求解的相互转化思想的应用.
(II)先求函数f(x)的定义域为(0,+∞),要判断函数的单调区间,需要判断导数
的正负,分类讨论:分(1)当a≥0时,(2)当a<0时两种情况分别求解
(II)由g(x)可求得g′(x),由已知函数g(x)为[1,2]上的单调减函数,可知g'(x)≤0在[1,2]上恒成立,即
解答:解:(Ⅰ)
由已知f'(2)=1,解得a=-3.…(3分)
(II)函数f(x)的定义域为(0,+∞).
(1)当a≥0时,f'(x)>0,f(x)的单调递增区间为(0,+∞); …(5分)
(2)当a<0时
当x变化时,f'(x),f(x)的变化情况如下:
| x | |||
| f'(x) | - | + | |
| f(x) | 极小值 |
单调递增区间是
(III)由
由已知函数g(x)为[1,2]上的单调减函数,
则g'(x)≤0在[1,2]上恒成立,
即
即
令
所以h(x)在[1,2]为减函数.
所以
点评:本题主要考查了函数的导数的求解,利用导数判断函数的单调区间,体现了分类讨论思想的应用,及函数的恒成立与函数的最值求解的相互转化思想的应用.
练习册系列答案
相关题目
| π |
| 2 |
A、f(x)=2sin(πx+
| ||
B、f(x)=2sin(2πx+
| ||
C、f(x)=2sin(πx+
| ||
D、f(x)=2sin(2πx+
|