题目内容
已知等比数列
中,各项都是正数,且
成等差数列,则
等于 ( )
A.
B.
C.
D.
![]()
【答案】
C
【解析】
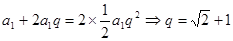
试题分析:设公比为
,则
,于是![]()
.
考点:等差、等比数列.
练习册系列答案
相关题目
题目内容
已知等比数列
中,各项都是正数,且
成等差数列,则
等于 ( )
A.
B.
C.
D.
![]()
C
【解析】
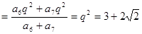
试题分析:设公比为
,则
,于是![]()
.
考点:等差、等比数列.