题目内容

某种细胞每隔1小时死亡3个,其余的细胞每个分裂成两个.若最初有9个细胞,n小时后细胞的个数记为an.

(1)求an关于n的表达式f(n);

(2)多少时间后细胞的个数超过1 000个?

解:(1)a1=9,an=2(an-1-3),

即an=2an-1-6,                          ①

an+1=2an-6.                            ②

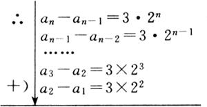
②-①,an+1-an=2(an-an-1).

令bn=an+1-an,则bn是以b1=a2-a1=12为首项,2为公比的等比数列.

∴bn=12×2n-1=3·2n+1.

∴an+1-an=3·2n+1.

    an-a1=3·(2n+2n-1+…+2)=3·(2n-1),

∴an=6+3·2n.

(2)假设n小时后细胞的个数超过1 000个,

则an>1 000,即6+3·2n>1 000,

∴2n.

两边取以2为底的对数得,

n>log2

而28=256<<512=29.

又∵n∈N*,∴n=9.

∴9小时后细胞的个数超过1 000个.

练习册系列答案
相关题目

违法和不良信息举报电话:027-86699610 举报邮箱:58377363@163.com

精英家教网