搜索
题目内容
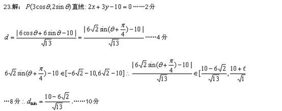
((本小题满分10分)
已知椭圆的参数方程
(
为参数),求椭圆上的动点P到直线
(t为参数)的最短距离。
试题答案
相关练习册答案
解析
练习册系列答案
新概念阅读延边大学出版社系列答案
走进文言文系列答案
新编中考英语短文填空阅读系列答案
通城学典周计划课外阅读训练系列答案
同步时间初中英语阅读系列答案
文言文教材全解系列答案
阅读训练80篇系列答案
现代文经典阅读系列答案
阅读成长好帮手系列答案
天利38套快乐阅读系列答案
相关题目
(选做题)本题包括A、B、C、D四小题,请选定其中两题,并在答题卡指定区域内作答,若多做,则按作答的前两题评分,解答时应写出文字说明、证明过程或演算步骤.
A.[选修4-1:几何证明选讲]
已知△ABC中,AB=AC,D是△ABC外接圆劣弧AC上的点(不与点A,C重合),延长BD至点E.
求证:AD的延长线平分∠CDE
B.[选修4-2:矩阵与变换]
已知矩阵
A=
1
2
-1
4
(1)求A的逆矩阵A
-1
;
(2)求A的特征值和特征向量.
C.[选修4-4:坐标系与参数方程]
已知曲线C的极坐标方程为ρ=4sinθ,以极点为原点,极轴为x轴的非负半轴建立平面直角坐标系,直线l的参数方程为
x=
1
2
t
y=
3
2
t+1
(t为参数),求直线l被曲线C截得的线段长度.
D.[选修4-5,不等式选讲](本小题满分10分)
设a,b,c均为正实数,求证:
1
2a
+
1
2b
+
1
2c
≥
1
b+c
+
1
c+a
+
1
a+b
.
本题包括(1)、(2)、(3)、(4)四小题,请选定其中两题,并在答题卡指定区域内答,
若多做,则按作答的前两题评分.解答时应写出文字说明、证明过程或演算步骤.
(1)、选修4-1:几何证明选讲
如图,∠PAQ是直角,圆O与AP相切于点T,与AQ相交于两点B,C.求证:BT平分∠OBA
(2)选修4-2:矩阵与变换(本小题满分10分)
若点A(2,2)在矩阵
M=
cosα
-sinα
sinα
cosα
对应变换的作用下得到的点为B(-2,2),求矩阵M的逆矩阵
(3)选修4-2:矩阵与变换(本小题满分10分)
在极坐标系中,A为曲线ρ
2
+2ρcosθ-3=0上的动点,B为直线ρcosθ+ρsinθ-7=0上的动点,求AB的最小值.
(4)选修4-5:不等式选讲(本小题满分10分)
已知a
1
,a
2
…a
n
都是正数,且a
1
•a
2
…a
n
=1,求证:(2+a
1
)(2+a
2
)…(2+a
n
)≥3
n
.
必做题:(本小题满分10分,请在答题指定区域内作答,解答时应写出文字说明、证明过程或演算步骤)
已知a
n
(n∈N
*
)是二项式(2+x)
n
的展开式中x的一次项的系数.
(Ⅰ)求a
n
;
(Ⅱ)是否存在等差数列{b
n
},使a
n
=b
1
c
n
1
+b
2
c
n
2
+b
3
c
n
3
+…+b
n
c
n
n
对一切正整数n都成立?并证明你的结论.
(本小题满分10分)数学的美是令人惊异的!如三位数153,它满足153=1
3
+5
3
+3
3
,即这个整数等于它各位上的数字的立方的和,我们称这样的数为“水仙花数”.请您设计一个算法,找出大于100,小于1000的所有“水仙花数”.
(1)用自然语言写出算法;
(2)画出流程图.
(选修4-2:矩阵与变换)(本小题满分10分)
求矩阵
A=
3
2
2
1
的逆矩阵.
关 闭
试题分类
高中
数学
英语
物理
化学
生物
地理
初中
数学
英语
物理
化学
生物
地理
小学
数学
英语
其他
阅读理解答案
已回答习题
未回答习题
题目汇总
试卷汇总
练习册解析答案