题目内容
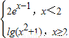
若f(x)=
【答案】分析:由f(x)=
,先求出f(3)=lg(9+1)=1,再求f(f(3))的值.
解答:解:∵f(x)=
,
∴f(3)=lg(9+1)=1,
∴f(f(3))=f(1)=2e=2.
故答案为:2.
点评:本题考查分段函数的函数值的求法,是基础题.解题时要认真审题,仔细解答.
解答:解:∵f(x)=
∴f(3)=lg(9+1)=1,
∴f(f(3))=f(1)=2e=2.
故答案为:2.
点评:本题考查分段函数的函数值的求法,是基础题.解题时要认真审题,仔细解答.
练习册系列答案
相关题目