题目内容
(1)已知f (x+1)=x2+4x+1,求f (x);(2)已知f (
(3)设f(x)是奇函数,g(x)是偶函数,并且f(x)-g(x)=x2-x,求f(x).
【答案】分析:(1)将x+1看成整体,表示x2+4x+1,即可得f(x)的解析式
(2)将
看成整体,表示
+1,即可得f(x)的解析式
(3)先利用函数奇偶性的定义,再列一个关于f(x)、g(x)的方程,然后解方程即可
解答:解:(1)∵f (x+1)=x2+4x+1=(x+1)2+2(x+1)-2,∴f (x)=x2+2x-2
(2)∵f (
)=
+1=(x-
)2+3,∴f (x)=x2+3
(3)f(x)为奇函数∴f(-x)=-f(x);g(x)为偶函数∴g(-x)=g(x)
∵f(x)-g(x)=x2-x∴f(-x)-g(-x)=x2+x
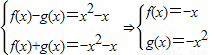
从而-f(x)-g(x)=x2+x,f(x)+g(x)=-x2-x
由
∴f(x)=-x
点评:本题考查了求函数解析式的几种方法:换元法,配凑法,方程组法,解题时要善于总结各种方法适用的题型,熟练的解决问题
(2)将
(3)先利用函数奇偶性的定义,再列一个关于f(x)、g(x)的方程,然后解方程即可
解答:解:(1)∵f (x+1)=x2+4x+1=(x+1)2+2(x+1)-2,∴f (x)=x2+2x-2
(2)∵f (
(3)f(x)为奇函数∴f(-x)=-f(x);g(x)为偶函数∴g(-x)=g(x)
∵f(x)-g(x)=x2-x∴f(-x)-g(-x)=x2+x
从而-f(x)-g(x)=x2+x,f(x)+g(x)=-x2-x
由
∴f(x)=-x
点评:本题考查了求函数解析式的几种方法:换元法,配凑法,方程组法,解题时要善于总结各种方法适用的题型,熟练的解决问题
练习册系列答案
相关题目
已知f(x)的定义域为x∈R且x≠1,已知f(x+1)为奇函数,当x<1时,f(x)=2x2-x+1,那么,当x>1时,f(x)的递减区间是( )
A、[
| ||
B、[1,
| ||
C、[
| ||
D、(1,
|