题目内容
已知函数f(x)=ax2-lnx,x∈(0,e],其中e是自然对数的底数,a∈R.(Ⅰ)当a=1时,求函数f(x)的单调区间与极值;
(Ⅱ)是否存在实数a,使f(x)的最小值是3?若存在,求出a的值;若不存在,说明理由.
【答案】分析:(1)当a=1时,先求出f(x),然后对函数进行求导,结合导数即可判断函数的单调性,进而可求极值
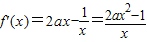
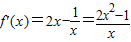
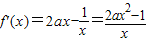
(2)由f(x)=ax2-lnx,可得
,然后结合讨论a的范围,以确定f′(x)的正负,进而可确定函数f(x)的单调性,求出最小值即可求解a.
解答:解:(Ⅰ)∵f(x)=x2-lnx,x∈(0,e],
,x∈(0,e],…(1分)
令f′(x)>0,得
<x<e,f′(x)<0,得0<x<
,
∴f(x)的单调增区间是[
,e],单调减区间为(0,
]. …(4分)
f(x)的极小值为f(
)=
-ln
=
ln2.无极大值.…(5分)
(Ⅱ)假设存在实数a,使f(x)=ax2-lnx,(x∈[0,e])有最小值3,
…(6分)
①当a≤0时,x∈(0,e],所以f′(x)<0,所以f(x)在(0,e]上单调递减,
∴
,
(舍去)…(8分)
②当a>0时,令f′(x)=0得:
,
(ⅰ)当0<
<e即a>
时
f(x)在(0,
]上单调递减,在(
,e]上单调递增,
∴f(x)min=f(
)=
.得a=
. …(10分)
(ⅱ)当
≥e即0<a≤
时,
x∈(0,e]时,f’(x)<0,所以,f(x)在(0,e]上单调递减,
∴
,
(舍去),此时f(x)无最小值.
综上,存在实数
,使得当x∈(0,e]时,f(x)有最小值3.…(12分)
点评:本题考查利用导数求闭区间上函数的最值的应用,是中档题.解题时要认真审题,注意挖掘题设中的隐含条件,合理地进行等价转化.
(2)由f(x)=ax2-lnx,可得
解答:解:(Ⅰ)∵f(x)=x2-lnx,x∈(0,e],
令f′(x)>0,得
∴f(x)的单调增区间是[
f(x)的极小值为f(
(Ⅱ)假设存在实数a,使f(x)=ax2-lnx,(x∈[0,e])有最小值3,
①当a≤0时,x∈(0,e],所以f′(x)<0,所以f(x)在(0,e]上单调递减,
∴
②当a>0时,令f′(x)=0得:
(ⅰ)当0<
f(x)在(0,
∴f(x)min=f(
(ⅱ)当
x∈(0,e]时,f’(x)<0,所以,f(x)在(0,e]上单调递减,
∴
综上,存在实数
点评:本题考查利用导数求闭区间上函数的最值的应用,是中档题.解题时要认真审题,注意挖掘题设中的隐含条件,合理地进行等价转化.
练习册系列答案
相关题目