题目内容
已知等差数列{an}的前3项和为3,前6项和为24.(1)求数列{an}的通项公式;
(2)设
【答案】分析:(1)设出等差数列的首项和公差,由等差数列{an}的前3项和为3,前6项和为24,利用等差数列的前n项和的公式得到两个关于首项与公差的两方程,联立即可求出首项和公差,根据首项和公差写出数列的通项公式即可;
(2)把(1)求出的等差数列的通项公式代入
中,化简得到数列{bn}为首项是2,公比是、为
的等比数列,根据等比数列的前n项的和表示出数列{bn}的前n项和为Tn,由Tn+1-Tn大于0,得到Tn单调递增,所以Tn的最小值为2,列出关于k的不等式,求出不等式解集中k的最大正整数解即可.
解答:解:(1)设等差数列{an}的首项为a1,公差为d,由题意可知:
,解得:a1=-1,d=2,
故an=-1+2(n-1)=2n-3;
(2)由(1)得:bn=
=
=8•
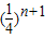
,
所以数列{bn}是以b1=2为首项,公比q=
的等比数列,
则Tn=
=
[1-
],
又Tn+1-Tn=
[1-
]-
[1-
]=2•
>0,
因此Tn单调递增,
故Tn的最小值为T1=b1=2,由2>k及k∈N+,得kmax=1.
点评:此题考查学生灵活运用等差数列及等比数列的前n项和的公式化简求值,掌握数列的函数特征,是一道综合题.
(2)把(1)求出的等差数列的通项公式代入
解答:解:(1)设等差数列{an}的首项为a1,公差为d,由题意可知:
故an=-1+2(n-1)=2n-3;
(2)由(1)得:bn=
所以数列{bn}是以b1=2为首项,公比q=
则Tn=
又Tn+1-Tn=
因此Tn单调递增,
故Tn的最小值为T1=b1=2,由2>k及k∈N+,得kmax=1.
点评:此题考查学生灵活运用等差数列及等比数列的前n项和的公式化简求值,掌握数列的函数特征,是一道综合题.
练习册系列答案
相关题目