题目内容
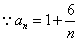
已知数列{an}的通项公式
,
(1)求a10;
(2)
是否是这个数列中的项?
(3)这个数列中有多少整数项?
(4)是否有等于序号的项?若有,求出该项;若没有,说明理由.
(1)求a10;
(2)
(3)这个数列中有多少整数项?
(4)是否有等于序号的项?若有,求出该项;若没有,说明理由.
解:(1)
;
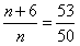
(2)令
,得n=100,
故是这个数列的第100项。
(3)
,
∴当n=1,2,3,6时,an为整数故这个数列中有4项是整数项.
(4)令
,得
,
解得n=3或n=-2(舍),
故该数列中有等于序号的项,即a3=3。
(2)令
故是这个数列的第100项。
(3)
∴当n=1,2,3,6时,an为整数故这个数列中有4项是整数项.
(4)令
解得n=3或n=-2(舍),
故该数列中有等于序号的项,即a3=3。
练习册系列答案
相关题目
已知数列{an}的通项为an=2n-1,Sn为数列{an}的前n项和,令bn=
,则数列{bn}的前n项和的取值范围为( )
| 1 |
| Sn+n |
A、[
| ||||
B、(
| ||||
C、[
| ||||
D、[
|