题目内容
设椭圆C1的离心率为A.
B.
C.
D.
【答案】分析:先根据题意可推断出椭圆方程中的长半轴,进而根据离心率求得焦半距,根据曲线C2上的点到椭圆C1的两个焦点的距离的差的绝对值等于10,推断出其轨迹是双曲线且半焦距为7,实轴为10,进而求得虚轴的长,则双曲线的方程可得.
解答:解:根据题意可知椭圆方程中的a=15,
∵
=
∴c=7
根据双曲线的定义可知曲线C2为双曲线,其中半焦距为7,实轴长为10
∴虚轴长为2
=4
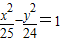
∴双曲线方程为
故选B.
点评:本题主要考查了双曲线的定义和简单性质,双曲线的标准方程和椭圆的简单性质.考查了学生对圆锥曲线基础知识的综合运用.
解答:解:根据题意可知椭圆方程中的a=15,
∵
∴c=7
根据双曲线的定义可知曲线C2为双曲线,其中半焦距为7,实轴长为10
∴虚轴长为2
∴双曲线方程为
故选B.
点评:本题主要考查了双曲线的定义和简单性质,双曲线的标准方程和椭圆的简单性质.考查了学生对圆锥曲线基础知识的综合运用.
练习册系列答案
相关题目
4.设椭圆C1的离心率为
,焦点在x轴上且长轴长为26,若曲线C2上的点到椭圆C1的两个焦点的距离的差的绝对值等于8,则曲线C2的标准方程为( )
| 5 |
| 13 |
A、
| ||||
B、
| ||||
C、
| ||||
D、
|
设椭圆C1的离心率为
,焦点在x轴上且长轴长为30.若曲线C2上的点到椭圆C1的两个焦点的距离的差的绝对值等于10,则曲线C2的标准方程为( )
| 7 |
| 15 |
A、
| ||||
B、
| ||||
C、
| ||||
D、
|
设椭圆C1的离心率为
,焦点在x轴上且长轴长为26,若曲线C2上的点到C1的两个焦点的距离的差的绝对值为8,则曲线C2的标准方程为( )
| 5 |
| 13 |
A、
| ||||
B、
| ||||
C、
| ||||
D、
|