题目内容
已知函数f(x)=4lnx-ax+(Ⅰ)讨论f(x)的单调性;
(Ⅱ)当a≥1时,设g(x)=2ex-4x+2a,若存在x1,x2∈[
【答案】分析:(Ⅰ)先求函数f(x)的定义域、f′(x),然后解关于x的不等式f′(x)>0,f′(x)<0即可.
(Ⅱ)存在x1,x2∈[
,2],使f(x1)>g(x2)可转化为在[
,2]上f(x)的最大值大于g(x)的最小值,进而转化为求f(x)、g(x)在[
,2]上的最大值、最小值问题.
解答:解:(Ⅰ)f(x)的定义域为(0,+∞).
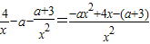
f′(x)=
,(x>0),令h(x)=-ax2+4x-(a+3),
(1)当a=0时,h(x)=4x-3,令h(x)>0,得x
,此时f′(x)>0;令h(x)<0,得0<x
,此时f′(x)<0,∴f(x)的减区间为(0,
],增区间为[
);
(2)当a>0时,△=42-4(-a)[-(a+3)]=-4(a-1)(a+4),
①若a≥1,则△≤0,∴h(x)≤0,f′(x)≤0,∴f(x)在区间(0,+∞)上单调递减.
②若0<a<1,则△>0,
,∴
,
,
当x∈(0,x1)时,h(x)<0,f′(x)<0,f(x)单调递减,当x∈(x1,x2)时,h(x)>0,f′(x)>0,f(x)单调递增,
当x∈(x2,+∞)时,h(x)<0,f′(x)<0,f(x)单调递减.
综上,当a=0时,f(x)的减区间为(0,
],增区间为[
,+∞).
当0<a<1时,f(x)的减区间为(0,
),(
,+∞);增区间为(
,
).
当a≥1时,f(x)的减区间为(0,+∞).
(Ⅱ)由(Ⅰ)可知,当a≥1时,f(x)在[
,2]上单调递减,∴f(x)在[
,2]上的最大值为f(
)=-4ln2+
,
g′(x)=2ex-4,令g′(x)=0,得x=ln2.当x∈[
,ln2)时,g′(x)<0,∴g(x)单调递减,x∈(ln2,2]时,g′(x)>0,g(x)单调递增,
∴g(x)在[
,2]上的最小值为g(ln2)=4-4ln2+2a,
由题意可知-4ln2+
+6>4-4ln2+2a,解得a<4,又a≥1,
所以实数a的取值范围为[1,4).
点评:本题考查了利用导数研究函数的单调性、求函数的最值问题.
本题运用了分类讨论思想、转化思想.
(Ⅱ)存在x1,x2∈[
解答:解:(Ⅰ)f(x)的定义域为(0,+∞).
f′(x)=
(1)当a=0时,h(x)=4x-3,令h(x)>0,得x
(2)当a>0时,△=42-4(-a)[-(a+3)]=-4(a-1)(a+4),
①若a≥1,则△≤0,∴h(x)≤0,f′(x)≤0,∴f(x)在区间(0,+∞)上单调递减.
②若0<a<1,则△>0,
当x∈(0,x1)时,h(x)<0,f′(x)<0,f(x)单调递减,当x∈(x1,x2)时,h(x)>0,f′(x)>0,f(x)单调递增,
当x∈(x2,+∞)时,h(x)<0,f′(x)<0,f(x)单调递减.
综上,当a=0时,f(x)的减区间为(0,
当0<a<1时,f(x)的减区间为(0,
当a≥1时,f(x)的减区间为(0,+∞).
(Ⅱ)由(Ⅰ)可知,当a≥1时,f(x)在[
g′(x)=2ex-4,令g′(x)=0,得x=ln2.当x∈[
∴g(x)在[
由题意可知-4ln2+
所以实数a的取值范围为[1,4).
点评:本题考查了利用导数研究函数的单调性、求函数的最值问题.
练习册系列答案
相关题目