题目内容
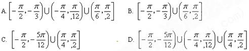
若定义在上的偶函数在上是增函数,且,那么不等式在上的解集为 ( )
D
若定义在上的函数满足:对任意,有,则下列说法一定正确的是( )
A.为奇函数 B.为偶函数
C.为奇函数 D.为偶函数
A. B.
C. D.