题目内容
在y=2x,y=log2x,y=x2这三个函数中,当0<x1<x2<1时,使A.0个
B.1个
C.2个
D.3个
【答案】分析:先求出各个函数对应的
,再利用指数函数的单调性及基本不等式比较两者的大小.
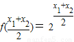
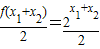
解答:解:对于y=2x有
=
∵0<x1<x2<1,∴
∴
恒成立
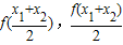
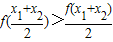
对于y=log2x有
,
=
∵0<x1<x2<1,
∴
,
∴
故选B
点评:本题考查指数函数的单调性、基本不等式比较数的大小.
解答:解:对于y=2x有
∵0<x1<x2<1,∴
∴
对于y=log2x有
∵0<x1<x2<1,
∴
∴
故选B
点评:本题考查指数函数的单调性、基本不等式比较数的大小.
练习册系列答案
相关题目