题目内容
已知数列{an}中(1)求证:数列
(2)求数列{an}的通项公式;
(3)若
【答案】分析:(1)由
,得Sn-Sn-1=
,可化为
(n≥2),根据等差数列的定义可证明;
(2)由(1)可得
,进而得到Sn,根据
可求得an;
(3)表示出bn(n≥2),则S′n=b1+b2+b3+…+bn,对各项分母进行适当放缩,然后利用裂项相消法化简,可得结论;
解答:解:(1)∵
,
∴Sn-Sn-1=
,即
,
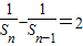
所以Sn-1-Sn=2SnSn-1,
显然,Sn≠0,否则由
知an=0与an≠0矛盾.
∴
(n≥2),
又
,
∴
是首项为2,公差为2的等差数列;
(2)由(1)可知:
,∴
,
①当n≥2时,
,
②当n=1时,
,
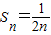
∴
;
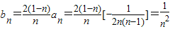
(3)∵b1=1,且由(2)知当n≥2时,
,
∴S′n=b1+b2+b3+…+bn
=1+
<1+
=1+(1-
)+(
)+…+(
)=2-
<2.
点评:本题考查数列与不等式的综合、等差数列的判定及数列求和,考查学生综合运用知识分析解决问题的能力,能力要求较高.
(2)由(1)可得
(3)表示出bn(n≥2),则S′n=b1+b2+b3+…+bn,对各项分母进行适当放缩,然后利用裂项相消法化简,可得结论;
解答:解:(1)∵
∴Sn-Sn-1=
所以Sn-1-Sn=2SnSn-1,
显然,Sn≠0,否则由
∴
又
∴
(2)由(1)可知:
①当n≥2时,
②当n=1时,
∴
(3)∵b1=1,且由(2)知当n≥2时,
∴S′n=b1+b2+b3+…+bn
=1+
<1+
=1+(1-
点评:本题考查数列与不等式的综合、等差数列的判定及数列求和,考查学生综合运用知识分析解决问题的能力,能力要求较高.
练习册系列答案
相关题目
已知数列{an}中,a1=1,2nan+1=(n+1)an,则数列{an}的通项公式为( )
A、
| ||
B、
| ||
C、
| ||
D、
|