搜索
题目内容
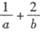
设z,y满足约束条倂
’若目标函数
的最大值为6,则
的最小值为
A.3 B. 1 C. 2 D.4
试题答案
相关练习册答案
A
练习册系列答案
主题课时强化训练系列答案
随堂练习卷系列答案
随堂小练系列答案
浙江期末复习系列答案
周考月考期中期末冲刺100分系列答案
名校通行证有效作业系列答案
全能优化大考卷金题卷系列答案
高中新课程名师导学 系列答案
小学同步评价与测试 系列答案
品学双优立体期末系列答案
相关题目
设z,y满足约束条倂
’若目标函数
的最大值为6,则
的最小值为
A.3 B. 1 C. 2 D.4
关 闭
试题分类
高中
数学
英语
物理
化学
生物
地理
初中
数学
英语
物理
化学
生物
地理
小学
数学
英语
其他
阅读理解答案
已回答习题
未回答习题
题目汇总
试卷汇总
练习册解析答案