题目内容
椭圆的中心在原点,焦距为4,一条准线为x=-4,则该椭圆的方程为( )A.
B.
C.
D.
【答案】分析:确定椭圆的焦点在x轴上,根据焦距为4,一条准线为x=-4,求出几何量,即可求得椭圆的方程.
解答:解:由题意,椭圆的焦点在x轴上,且
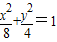
∴c=2,a2=8
∴b2=a2-c2=4
∴椭圆的方程为
故选C.
点评:本题考查椭圆的标准方程,考查椭圆的几何性质,属于基础题.
解答:解:由题意,椭圆的焦点在x轴上,且
∴c=2,a2=8
∴b2=a2-c2=4
∴椭圆的方程为
故选C.
点评:本题考查椭圆的标准方程,考查椭圆的几何性质,属于基础题.
练习册系列答案
相关题目