题目内容
设数列{an}前n项和Sn,且Sn=2an-2,n∈N+.(Ⅰ)试求数列{an}的通项公式;
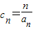
(Ⅱ)设
【答案】分析:(Ⅰ)当n≥2时,由an=Sn-Sn-1可得an=2an-1,当n=1时,S1=2a1-2,可求a1,结合等比数列的通项公式可求
(II)由(I)知,
=
,利用错位相减求和即可求解
解答:解:(Ⅰ)当n≥2时,an=Sn-Sn-1=(2an-2)-(2an-1-2)=2an-2an-1,
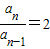
所以,an=2an-1,即
,…(3分)
当n=1时,S1=2a1-2,a1=2,…(4分)
由等比数列的定义知,数列{an}是首项为2,公比为2的等比数列,
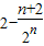
所以,数列{an}的通项公式为
.…(6分)
(II)由(I)知,
=
(8分)
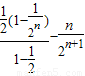
∴
=
两式相减可得,
=
=
=
∴Tn=
(12分)
点评:本题主要考查了利用数列的递推公式求解数列的通项公式,等比数列的通项公式及错位相减求和方法的应用
(II)由(I)知,
解答:解:(Ⅰ)当n≥2时,an=Sn-Sn-1=(2an-2)-(2an-1-2)=2an-2an-1,
所以,an=2an-1,即
当n=1时,S1=2a1-2,a1=2,…(4分)
由等比数列的定义知,数列{an}是首项为2,公比为2的等比数列,
所以,数列{an}的通项公式为
(II)由(I)知,
∴
两式相减可得,
∴Tn=
点评:本题主要考查了利用数列的递推公式求解数列的通项公式,等比数列的通项公式及错位相减求和方法的应用
练习册系列答案
相关题目