题目内容
已知f(x)=ax-lnx,x∈(0,e],a∈R。
(1)若a=1,求f(x)的极小值;
(2)是否存在实数a,使f(x)的最小值为3。
(1)若a=1,求f(x)的极小值;
(2)是否存在实数a,使f(x)的最小值为3。
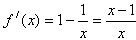
解:(1)∵
∴
令
,则
列表得:

f(x)的极小值是1.
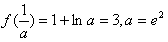
(2)
当
时,
所以f(x)在(e,
)单调递减,则f(x)的最小值为
,舍去
当
时,
则f(x)的最小值为
综上,当
时,f(x)的最小值为3。
∴
令
列表得:
f(x)的极小值是1.
(2)
当
所以f(x)在(e,
当
则f(x)的最小值为
综上,当
练习册系列答案
相关题目