题目内容
双曲线与椭圆(Ⅰ)求双曲线的方程;
(Ⅱ)求双曲线的离心率及渐近线方程.
【答案】分析:(Ⅰ)双曲线与椭圆
有相同焦点,双曲线的焦点为F1(0,-3),F2(0,3),设双曲线方程为
,由点(
,4)在双曲线上,能求出双曲线方程.
(Ⅱ)由双曲线方程为
,知a=2,c=
=3,由此能求出双曲线的离心率和渐近线方程.
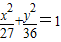
解答:解:(Ⅰ)∵双曲线与椭圆
有相同焦点,
∴双曲线的焦点为F1(0,-3),F2(0,3),
设双曲线方程为
,
点(
,4)在双曲线上,代入,得:
,
解得a2=4,或a2=36(舍),
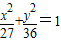
∴双曲线方程为
.
(Ⅱ)∵双曲线方程为
,
∴a=2,c=
=3,
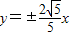
∴双曲线的离心率
.渐近线方程:
.
点评:本题考查双曲线方程的求法,考查双曲线的离心率和渐近线方程的求法.解题时要认真审题,仔细解答,注意椭圆性质的合理运用.
(Ⅱ)由双曲线方程为
解答:解:(Ⅰ)∵双曲线与椭圆
∴双曲线的焦点为F1(0,-3),F2(0,3),
设双曲线方程为
点(
解得a2=4,或a2=36(舍),
∴双曲线方程为
(Ⅱ)∵双曲线方程为
∴a=2,c=
∴双曲线的离心率
点评:本题考查双曲线方程的求法,考查双曲线的离心率和渐近线方程的求法.解题时要认真审题,仔细解答,注意椭圆性质的合理运用.
练习册系列答案
相关题目