搜索
题目内容
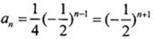
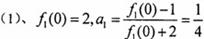
设
(1)写出
的递推关系式,并求出
的通项公式;
(2)若
试比较
大小
并证明
试题答案
相关练习册答案
(1)
(2)证明略
解析
练习册系列答案
暑假作业快乐的假日系列答案
欣语文化快乐暑假沈阳出版社系列答案
暑假作业辽海出版社系列答案
暑假作业合肥工业大学出版社系列答案
小小全能王衔接教材内蒙古大学出版社系列答案
暑假作业本大象出版社系列答案
暑假期导航学年知识大归纳系列答案
新课堂假期生活寒假用书北京教育出版社系列答案
假期伙伴暑假大连理工大学出版社系列答案
新课程暑假作业本山西教育出版社系列答案
相关题目
设数列{a
n
}满足:a
1
=1,a
2
=2,
a
n+2
=
a
n
(
a
2
n+1
+1)
a
2
n
+1
(n≥1,n∈
N
*
).
(1)求a
n+1
与a
n
之间的递推关系式a
n+1
=f(a
n
);
(2)求证:当n≥2时,2<a
n
2
-a
n-1
2
≤3;
(3)求a
2011
的整数部分.
设点列A
n
(x
n
,0)、P
n
(x
n
,2
n-1
)和抛物线列
C
n
:y=
x
2
+
x
2
n
+
a
n
(n∈N*),x
n
由以下方法得到:点P
n+1
(x
n+1
,2
n
)在抛物线
C
n
:y=
x
2
+
x
2
n
+
a
n
上,点A
n
(x
n
,0)到P
n+1
的距离是A
n
到C
n
上点的最短距离;试写出x
n+1
和x
n
之间的递推关系式为x
n+1
=
(用x
n
表示).
设点列A
n
(x
n
,0)、P
n
(x
n
,2
n-1
)和抛物线列
(n∈N*),x
n
由以下方法得到:点P
n+1
(x
n+1
,2
n
)在抛物线
上,点A
n
(x
n
,0)到P
n+1
的距离是A
n
到C
n
上点的最短距离;试写出x
n+1
和x
n
之间的递推关系式为x
n+1
=
(用x
n
表示).
设
(1)写出
的递推关系式,并求出
的通项公式;
(2)若
试比较
大小并证明
关 闭
试题分类
高中
数学
英语
物理
化学
生物
地理
初中
数学
英语
物理
化学
生物
地理
小学
数学
英语
其他
阅读理解答案
已回答习题
未回答习题
题目汇总
试卷汇总
练习册解析答案