题目内容

改革开放以来,我国高等教育事业有了突飞猛进的发展,有人记录了某村2001到2005年五年间每年考入大学的人数,为了方便计算,2001年编号为1,2002年编号为2,……,2005年编号为5,数据如下:

年份(x)

1

2

3

4

5

人数(y)

3

5

8

11

13

(1)从这5年中随机抽取两年,求考入大学的人数至少有年多于10人的概率.

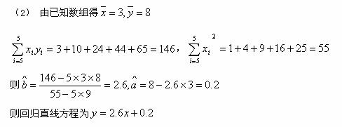
(2)根据这年的数据,利用最小二乘法求出关于的回归方程,并计算第年的估计值。

参考:用最小二乘法求线性回归方程系数公式

解:(1)从这5年中任意抽取两年,所有的事件有:12,13,14,15,23,24,25,34,35,45共10种

至少有1年多于10人的事件有:14,15,24,25,34,45,45共7种,则

至少有1年多于10人的概率为.…

则第8年的估计值为.

练习册系列答案
相关题目

违法和不良信息举报电话:027-86699610 举报邮箱:58377363@163.com

精英家教网