题目内容
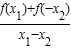
已知f(x)是定义在[-1,1]上的奇函数. 当a,b∈[-1,1],且a+b≠0时,有(Ⅰ)判断函f(x)的单调性,并证明;
(Ⅱ)若f(1)=1,且f(x)≤m2-2bm+1对所有x∈[-1,1],b∈[-1,1]恒成立,求实数m的取值范围.
【答案】分析:(Ⅰ)f(x)在[-1,1]上为增函数,利用函数的单调性定义,结合a+b≠0时,有
成立,可证;
(Ⅱ) 根据f(x)在[-1,1]上为增函数,对所有的x∈[-1,1],b∈[-1,1],有f(x)≤m2-2bm+1恒成立,应有m2-2bm+1≥f(1)=1⇒m2-2bm≥0. 记g(b)=-2mb+m2,对所有的b∈[-1,1],g(b)≥0成立,从而只需g(b)在[-1,1]上的最小值不小于零,故可解.
解答:解:(Ⅰ)f(x)在[-1,1]上为增函数
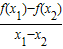
证明:设x1,x2∈[-1,1],且x1<x2,在
中,令a=x1,b=-x2,有
>0,
∵x1<x2,∴x1-x2<0,又∵f(x)是奇函数,
∴f(-x2)=-f(x2),∴
>0
∴f(x1)-f(x2)<0,即f(x1)<f(x2).
故f(x)在[-1,1]上为增函数…(6分)
(Ⅱ)∵f(1)=1 且f(x )在[-1,1]上为增函数,对x∈[-1,1],有f(x)≤f(1)=1.
由题意,对所有的x∈[-1,1],b∈[-1,1],有f(x)≤m2-2bm+1恒成立,
应有m2-2bm+1≥1⇒m2-2bm≥0. 记g(b)=-2mb+m2,对所有的b∈[-1,1],g(b)≥0成立.
只需g(b)在[-1,1]上的最小值不小于零…(8分)
若m>0时,g(b)=-2mb+m2是减函数,故在[-1,1]上,b=1时有最小值,
且[g(b)]最小值=g(1)=-2m+m2≥0⇒m≥2;
若m=0时,g(b)=0,这时[g(b)]最小值=0满足题设,故m=0适合题意;
若m<0时,g(b)=-2mb+m2是增函数,故在[-1,1]上,b=-1时有最小值,
且[g(b)]最小值=g(-1)=2m+m2≥0⇒m≤-2.
综上可知,符合条件的m的取值范围是:m∈(-∞,-2]∪{0}∪[2,+∞).
点评:本题的考点是函数恒成立问题,以奇函数为依托,证明函数的单调性,考查函数恒成立问题,关键是转换为研究函数的最值.
(Ⅱ) 根据f(x)在[-1,1]上为增函数,对所有的x∈[-1,1],b∈[-1,1],有f(x)≤m2-2bm+1恒成立,应有m2-2bm+1≥f(1)=1⇒m2-2bm≥0. 记g(b)=-2mb+m2,对所有的b∈[-1,1],g(b)≥0成立,从而只需g(b)在[-1,1]上的最小值不小于零,故可解.
解答:解:(Ⅰ)f(x)在[-1,1]上为增函数
证明:设x1,x2∈[-1,1],且x1<x2,在
∵x1<x2,∴x1-x2<0,又∵f(x)是奇函数,
∴f(-x2)=-f(x2),∴
∴f(x1)-f(x2)<0,即f(x1)<f(x2).
故f(x)在[-1,1]上为增函数…(6分)
(Ⅱ)∵f(1)=1 且f(x )在[-1,1]上为增函数,对x∈[-1,1],有f(x)≤f(1)=1.
由题意,对所有的x∈[-1,1],b∈[-1,1],有f(x)≤m2-2bm+1恒成立,
应有m2-2bm+1≥1⇒m2-2bm≥0. 记g(b)=-2mb+m2,对所有的b∈[-1,1],g(b)≥0成立.
只需g(b)在[-1,1]上的最小值不小于零…(8分)
若m>0时,g(b)=-2mb+m2是减函数,故在[-1,1]上,b=1时有最小值,
且[g(b)]最小值=g(1)=-2m+m2≥0⇒m≥2;
若m=0时,g(b)=0,这时[g(b)]最小值=0满足题设,故m=0适合题意;
若m<0时,g(b)=-2mb+m2是增函数,故在[-1,1]上,b=-1时有最小值,
且[g(b)]最小值=g(-1)=2m+m2≥0⇒m≤-2.
综上可知,符合条件的m的取值范围是:m∈(-∞,-2]∪{0}∪[2,+∞).
点评:本题的考点是函数恒成立问题,以奇函数为依托,证明函数的单调性,考查函数恒成立问题,关键是转换为研究函数的最值.
练习册系列答案
相关题目