题目内容

已知点AB的坐标分别是(0,–1),(0,1),直线AMBM相交于点M,且它们的斜率之积为

(1)    求点M的轨迹C的方程;

(2)    过D(2,0)的直线l与轨迹C有两不同的交点时,求l的斜率的取值范围;

(3)    若过点D(2,0)的直线l与(1)中的轨迹C交于不同的两点EFEDF之间),试求面积之比的取值范围(O为坐标原点).

解:(1) 设点的坐标为

,∴.                             ……2分

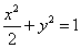
整理,得),这就是动点M的轨迹方程.············· 4分

(2) 由题意知直线的斜率存在,设的方程为) ①

将①代入,得(*)

,解得.····························· 8分

 (3) 由(*)式得

,则     ②      ……9分

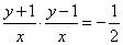
,则,即

                          ………………………………10分

由②得,

.                …………12分

解得

∴△OBE与△OBF面积之比的取值范围是.···················· 14分

练习册系列答案
相关题目

违法和不良信息举报电话:027-86699610 举报邮箱:58377363@163.com

精英家教网