题目内容
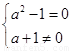
若复数()是纯虚数,则= .
2
【解析】
试题分析:根据题意可得:,解得,则,故.
考点:复数的运算
A.1 B.2 C.1或2 D.-1、
若复数不是纯虚数,则的取值范围是
A.或 B. 且 C. D.
A.或 B.且 C. D.