搜索
题目内容
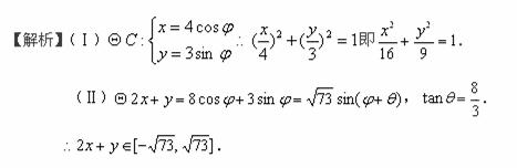
选修4-4:坐标系与参数方程
已知曲线
(
为参数).
(1)将
的方程化为普通方程;
(2)若点
是曲线
上的动点,求
的取值范围.
试题答案
相关练习册答案
练习册系列答案
期末好成绩系列答案
单元测试超效最新AB卷系列答案
99加1领先期末特训卷系列答案
百强名校期末冲刺100分系列答案
海淀考王期末完胜100分系列答案
好成绩1加1期末冲刺100分系列答案
金状元绩优好卷系列答案
快乐考卷系列答案
全程领航系列答案
全国重点高中提前招生同步强化训练卷系列答案
相关题目
[选修4-4:坐标系与参数方程]
在直角坐标系xoy中,直线l的参数方程为
x=
1
2
t
y=
2
2
+
3
2
t
(t为参数),若以直角坐标系xoy 的O点为极点,Ox为极轴,且长度单位相同,建立极坐标系,得曲线C的极坐标方程为ρ=2cos(θ-
π
4
).直线l与曲线C交于A,B两点,求|AB|.
A.选修4-1:几何证明选讲
如图,△ABC的外接圆的切线AE与BC的延长线相交于点E,∠BAC的平分线与BC
交于点D.求证:ED
2
=EB•EC.
B.选修4-2:矩阵与变换
求矩阵M=
-1
4
2
6
的特征值和特征向量.
C.选修4-4:坐标系与参数方程
在以O为极点的极坐标系中,直线l与曲线C的极坐标方程分别是
ρcos(θ+
π
4
)=
3
2
2
和ρsin
2
θ=4cosθ,直线l与曲线C交于点.A,B,C,求线段AB的长.
D.选修4-5:不等式选讲
对于实数x,y,若|x-1|≤1,|y-2|≤1,求|x-y+1|的最大值.
(2013•辽宁)选修4-4:坐标系与参数方程
在直角坐标系xoy中以O为极点,x轴正半轴为极轴建立坐标系.圆C
1
,直线C
2
的极坐标方程分别为ρ=4sinθ,ρcos(
θ-
π
4
)=2
2
.
(Ⅰ)求C
1
与C
2
交点的极坐标;
(Ⅱ)设P为C
1
的圆心,Q为C
1
与C
2
交点连线的中点,已知直线PQ的参数方程为
x=
t
3
+a
y=
b
2
t
3
+1
(t∈R为参数),求a,b的值.
选修4-4:
坐标系与参数方程在平面直角坐标系x0y中,曲线C
1
为x=acosφ,y=sinφ(1<a<6,φ为参数).
在以0为原点,x轴正半轴为极轴的极坐标中,曲线C
2
的方程为ρ=6cosθ,射线ι为θ=α,ι与C
1
的交点为A,ι与C
2
除极点外的一个交点为B.当α=0时,|AB|=4.
(1)求C
1
,C
2
的直角坐标方程;
(2)若过点P(1,0)且斜率为
3
的直线m与曲线C
1
交于D、E两点,求|PD|与|PE|差的绝对值.
(2011•晋中三模)选修4-4:坐标系与参数方程选讲
在直角坐标系xoy中,曲线c
1
的参数方程为:
x=2cosθ
y=2sinθ
(θ为参数),把曲线c
1
上所有点的纵坐标压缩为原来的一半得到曲线c
2
,以O为极点,x正半轴为极轴建立极坐标系,直线l的极坐标方程为
2
ρcos(θ-
π
4
)=4
.
(1)求曲线c
2
的普通方程,并指明曲线类型;
(2)过(1,0)点与l垂直的直线l
1
与曲线c
2
相交与A、B两点,求弦AB的长.
关 闭
试题分类
高中
数学
英语
物理
化学
生物
地理
初中
数学
英语
物理
化学
生物
地理
小学
数学
英语
其他
阅读理解答案
已回答习题
未回答习题
题目汇总
试卷汇总
练习册解析答案