题目内容
以下四个关于圆锥曲线的命题中:①设A、B为两个定点,k为正常数,
②双曲线
③方程2x2-5x+2=0的两根可分别作为椭圆和双曲线的离心率;
④和定点A(5,0)及定直线
其中真命题的序号为 .
【答案】分析:本题考查的知识点是,判断命题真假,比较综合的考查了椭圆、双曲线的定义标准方程、简单的几何性质,我们可以根据相关知识质对四个结论逐一进行判断,可以得到正确的结论.
解答:解:根据椭圆的定义,只有当P到两定点A、B距离之和大于|AB|即k>
时,动点P的轨迹为椭圆.①假命题
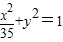
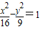
双曲线
的焦点是(
,0),椭圆
的焦点是(
,0),焦点相同.②真命题
方程2x2-5x+2=0的两根是x=
<1,可作为椭圆的离心率;x=2>1可双曲线的离心率.③真命题
依照双曲线的第二定义,和定点A(5,0)及定直线:x=
的距离之比为
的点的轨迹方程为
.直线l不应是
.④假命题
故答案为:②③.
点评:本题考查了椭圆、双曲线的定义标准方程、简单的几何性质等基础知识.在椭圆、双曲线地第二定义中,要保证定点,定直线,定比值三者间的数值对应关系,否则易误判.
解答:解:根据椭圆的定义,只有当P到两定点A、B距离之和大于|AB|即k>
双曲线
方程2x2-5x+2=0的两根是x=
依照双曲线的第二定义,和定点A(5,0)及定直线:x=
故答案为:②③.
点评:本题考查了椭圆、双曲线的定义标准方程、简单的几何性质等基础知识.在椭圆、双曲线地第二定义中,要保证定点,定直线,定比值三者间的数值对应关系,否则易误判.
练习册系列答案
相关题目