题目内容

已知函数.

(1)当时,求的单调区间;

(2)若函数单调递减,求实数的取值范围.

 

【答案】

(1)上单调递增.(2).

【解析】

试题分析:(1)通过“求导数,求驻点,分区间讨论”,可得函数的单调区间.也可利用导数大于0或小于0 ,解不等式,得到单调区间.

(2)问题转化成上恒成立,由,对进行分类讨论,求得其范围.

试题解析:(1)               1分

,,,,,                      4分

上单调递增           5 分

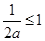
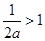
(2)上恒成立,

时, 是增函数,其最小值为0,不合题意;   7分

时,,函数有最大值,不合题意;   9分

时,,函数单调递增,在处取到最小值0;   11分

综上:            12分

考点:应用导数研究函数的单调性、最值.

 

练习册系列答案
相关题目

违法和不良信息举报电话:027-86699610 举报邮箱:58377363@163.com

精英家教网