题目内容
在△ABC中,角A,B,C的对边分别是a,b,c,已知sinC+cosC=1-sin
,
(1)求sinC的值;
(2)若a2+b2=4(a+b)-8,求边c的值。
(1)求sinC的值;
(2)若a2+b2=4(a+b)-8,求边c的值。
解:(1)已知
,
∴
,
整理即有:
,
又C为△ABC中的角,∴
,
∴
,
∴
。
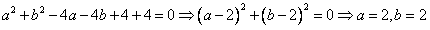
(2)
,
∴
,
又
,
∴
。
∴
整理即有:
又C为△ABC中的角,∴
∴
∴
(2)
∴
又
∴
练习册系列答案
相关题目
在△ABC中,角A、B、C所对的边分别为a,b,c,若b2+c2-a2=
bc,且b=
a,则下列关系一定不成立的是( )
| 3 |
| 3 |
| A、a=c |
| B、b=c |
| C、2a=c |
| D、a2+b2=c2 |