题目内容
已知数列{an}的前n项和Sn=n2(n∈N*),数列{bn}为等比数列,且满足b1=a1,2b3=b4。
(1)求数列{an},{bn}的通项公式;
(2)求数列{anbn}的前n项和。
(1)求数列{an},{bn}的通项公式;
(2)求数列{anbn}的前n项和。
解:(1)由
,得
,
当n≥2时,
,
所以,
。
由已知,
,

所以,
。
(2)
则
,
,
两式相减,得



,
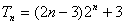
所以,
。
当n≥2时,
所以,
由已知,
所以,
(2)
则
两式相减,得
所以,
练习册系列答案
相关题目
已知数列{an}的前n项和Sn=an2+bn(a、b∈R),且S25=100,则a12+a14等于( )
| A、16 | B、8 | C、4 | D、不确定 |