题目内容
在平面直角坐标系xO
y中,点A(
4,0)、B(1,0),动点P满足![]()
(1)求点P
的轨迹C的方程;
(2)若直线
与轨迹C相交于M、N两点,直线
与轨迹C相交于P、Q
两点,顺
次连接M,N,P,Q得到的四边形MNPQ是棱形,求b。
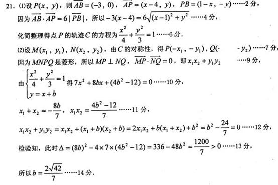
![]()
解析
练习册系列答案
相关题目
题目内容
在平面直角坐标系xO
y中,点A(
4,0)、B(1,0),动点P满足![]()
(1)求点P
的轨迹C的方程;
(2)若直线
与轨迹C相交于M、N两点,直线
与轨迹C相交于P、Q
两点,顺
次连接M,N,P,Q得到的四边形MNPQ是棱形,求b。
![]()
解析