题目内容
已知椭圆(1)
(2)S△F1PF2=bn
(3)
【答案】分析:(1)先根据点P为椭圆和双曲线的一个交点结合定义求出|PF1|与|PF2|的表达式,代入即可求出|PF1|•|PF2|的值.
(2)利用(1)中得出的结论,结合三角形面积公式即可证得.
(3)利用三角函数中正切的半角公式,结合前面得出的结论,即可证得.
解答:
解:(1)不妨设P在双曲线的右支上,左、右焦点F1、F2.利用椭圆以及双曲线的定义可得:|PF1|+|PF2|=2a ①
|PF1|-|PF2|=2m ②
由①②得:|PF1|=a+m,|PF2|=a-m.
∴|PF1|•|PF2|=a2-m2.
(2)如图所示,因为椭圆
(a>b>0)和双曲线
(m>0,n>0)有公共的焦点F1、F2,
所以有:a2-b2=m2+n2,
不妨设两曲线的交点P位于双曲线的右支上,设|PF1|=p,|PF2|=q.
由双曲线和椭圆的定义可得 p+q=2a,p-q=2m,
解得 p2+q2=2(a2+m2),pq=a2-m2,
在△PF1F2中,cos∠F1PF2=
=
.
∴S△F1PF2=
pqsin∠F1PF2=
×(a2-m2)×
=bn.
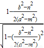
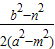
(3)
=
=
=
=
.
点评:本题主要考查圆锥曲线的综合问题.解决本题的关键在于根据椭圆和双曲线有相同的焦点F1、F2,及圆锥曲线的定义.属于中档题.
(2)利用(1)中得出的结论,结合三角形面积公式即可证得.
(3)利用三角函数中正切的半角公式,结合前面得出的结论,即可证得.
解答:
|PF1|-|PF2|=2m ②
由①②得:|PF1|=a+m,|PF2|=a-m.
∴|PF1|•|PF2|=a2-m2.
(2)如图所示,因为椭圆
所以有:a2-b2=m2+n2,
不妨设两曲线的交点P位于双曲线的右支上,设|PF1|=p,|PF2|=q.
由双曲线和椭圆的定义可得 p+q=2a,p-q=2m,
解得 p2+q2=2(a2+m2),pq=a2-m2,
在△PF1F2中,cos∠F1PF2=
∴S△F1PF2=
(3)
点评:本题主要考查圆锥曲线的综合问题.解决本题的关键在于根据椭圆和双曲线有相同的焦点F1、F2,及圆锥曲线的定义.属于中档题.
练习册系列答案
相关题目