题目内容
数列
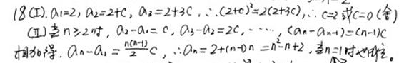
中,a1=2,an+1=an+cn(c是常数,n=1,2,3……)且a1,a2,a3成公比不为1的等比数列
(Ⅰ)求c的值
(Ⅱ)求
的通项公式
![]()
解析
练习册系列答案
相关题目
在数列{an}中,a1=2,nan+1=(n+1)an+2(n∈N*),则a10为( )
| A、34 | B、36 | C、38 | D、40 |
在数列{an}中,a1=2,2an+1=2an+1,n∈N*,则a101的值为( )
| A、49 | B、50 | C、51 | D、52 |
在正数数列
中,a1=2,且点(
)在直线x-
y=0上,则数列
的前n项和Sn等于
| A.2n+1-2 | B.2n-1 | C. | D. |