题目内容
直线y=kx+3与圆(x-3)2+(y-2)2=4相交于M,N两点,若A.[-
B.
C.[-
D.[-
【答案】分析:先求圆心坐标和半径,求出最大弦心距,利用圆心到直线的距离不大于最大弦心距,求出k的范围.
解答:
解:解法1:圆心的坐标为(3.,2),且圆与x轴相切.
当
,弦心距最大,
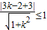
由点到直线距离公式得
解得k∈
;
故选A.
解法2:数形结合,如图由垂径定理得夹在两直线之间即可,不取+∞,排除B,考虑区间不对称,排除C,利用斜率估值,
故选A.
点评:考查直线与圆的位置关系、点到直线距离公式,重点考查数形结合的运用.解法2是一种间接解法,选择题中常用.
解答:
当
由点到直线距离公式得
解得k∈
故选A.
解法2:数形结合,如图由垂径定理得夹在两直线之间即可,不取+∞,排除B,考虑区间不对称,排除C,利用斜率估值,
故选A.
点评:考查直线与圆的位置关系、点到直线距离公式,重点考查数形结合的运用.解法2是一种间接解法,选择题中常用.
练习册系列答案
相关题目
直线y=kx+3与圆(x-2)2+(y-3)2=4相交于M,N两点,若|MN|≥2
,则k的取值范围是( )
| 3 |
A、[-
| ||||||||
B、[-
| ||||||||
C、[-
| ||||||||
D、[-
|