题目内容
设
,且
,则锐角
为( )
A.
B.
C.
D.
【答案】
C.
【解析】
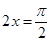
试题分析:因为
.所以
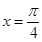
.即
.又因为
为锐角.所以
.所以
.本题主要考察向量的平行知识,通过向量平行的坐标公式来求解.本提较基础.
考点:1.向量平行的坐标形式.2.三角函数的知识.
练习册系列答案
相关题目