题目内容
设Sn是等差数列{an}的前n项和,8a1+a4=0,则A.-15
B.14
C.-16
D.16
【答案】分析:设出等差数列的首项和公差,由8a1+a4=0求得首项和公差的关系,把S4和S2都用首项或公差表示,则答案可求.
解答:解:在等差数列{an}中,设其公差为d,由8a1+a4=0,得:8a1+a1+3d=0,
即d=-3a1.
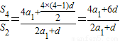
则
=
.
故选B.
点评:本题考查了等差数列前n项和,考查了等差数列的通项公式,是基础的计算题.
解答:解:在等差数列{an}中,设其公差为d,由8a1+a4=0,得:8a1+a1+3d=0,
即d=-3a1.
则
故选B.
点评:本题考查了等差数列前n项和,考查了等差数列的通项公式,是基础的计算题.
练习册系列答案
相关题目
设Sn是等差数列{an}的前n项和,S3=3(a2+a8),则
的值为( )
| a3 |
| a5 |
A、
| ||
B、
| ||
C、
| ||
D、
|