ÌâÄ¿ÄÚÈÝ
ÒÑ֪ijµØ½ñÄêÄê³õÓµÓоÓÃñס·¿µÄ×ÜÃæ»ýΪa£¨µ¥Î»£ºm2£©£¬ÆäÖÐÓв¿·Ö¾Éס·¿ÐèÒª²ð³ý£®µ±µØÓйز¿Ãžö¶¨Ã¿ÄêÒÔµ±ÄêÄê³õס·¿Ãæ»ýµÄ10%½¨ÉèÐÂס·¿£¬Í¬ÊÂÒ²²ð³ýÃæ»ýΪb£¨µ¥Î»£ºm2£©µÄ¾Éס·¿£®£¨¢ñ£©·Ö±ðд³öµÚÒ»ÄêÄ©ºÍµÚ¶þÄêÄ©µÄʵ¼Êס·¿Ãæ»ýµÄ±í´ïʽ£º
£¨¢ò£©Èç¹ûµÚÎåÄêÄ©¸ÃµØµÄס·¿Ãæ»ýÕýºÃ±È½ñÄêÄê³õµÄס·¿Ãæ»ýÔö¼ÓÁË30%£¬ÔòÿÄê²ð³ýµÄ¾Éס·¿Ãæ»ýbÊǶàÉÙ£¿£¨¼ÆËãʱȡ1.15=1.6£©
¡¾´ð°¸¡¿·ÖÎö£º£¨1£©ÓÉÌâÒâÒªÖªµÚ1ÄêÄ©µÄס·¿Ãæ»ý
£¬µÚ2ÄêÄ©µÄס·¿Ãæ»ý
£®
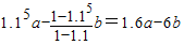
£¨¢ò£©µÚ5ÄêÄ©µÄס·¿Ãæ»ý
=
£¬ÒÀÌâÒâ¿ÉÖª£¬1.6a-6b=1.3a£¬Óɴ˽âµÃÿÄê²ð³ýµÄ¾É·¿Ãæ»ýΪ
£®
½â´ð£º½â£º£¨1£©µÚ1ÄêÄ©µÄס·¿Ãæ»ý
£¬
µÚ2ÄêÄ©µÄס·¿Ãæ»ý
£¬
£¨¢ò£©µÚ3ÄêÄ©µÄס·¿Ãæ»ý
=
£¬
µÚ4ÄêÄ©µÄס·¿Ãæ»ý
£¬
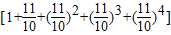
µÚ5ÄêÄ©µÄס·¿Ãæ»ýa•£¨
£©5-b
=
ÒÀÌâÒâ¿ÉÖª£¬1.6a-6b=1.3a£¬½âµÃ
£¬
ËùÒÔÿÄê²ð³ýµÄ¾É·¿Ãæ»ýΪ
£®
µãÆÀ£º±¾Ì⿼²éÊýÁÐÐÔÖʵÄ×ÛºÏÔËÓ㬽âÌâʱҪÈÏÕæÉóÌ⣬עÒâÍÚ¾òÌâÉèÖеÄÒþº¬Ìõ¼þ£®
£¨¢ò£©µÚ5ÄêÄ©µÄס·¿Ãæ»ý
½â´ð£º½â£º£¨1£©µÚ1ÄêÄ©µÄס·¿Ãæ»ý
µÚ2ÄêÄ©µÄס·¿Ãæ»ý
£¨¢ò£©µÚ3ÄêÄ©µÄס·¿Ãæ»ý
µÚ4ÄêÄ©µÄס·¿Ãæ»ý
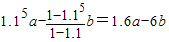
µÚ5ÄêÄ©µÄס·¿Ãæ»ýa•£¨
ÒÀÌâÒâ¿ÉÖª£¬1.6a-6b=1.3a£¬½âµÃ
ËùÒÔÿÄê²ð³ýµÄ¾É·¿Ãæ»ýΪ
µãÆÀ£º±¾Ì⿼²éÊýÁÐÐÔÖʵÄ×ÛºÏÔËÓ㬽âÌâʱҪÈÏÕæÉóÌ⣬עÒâÍÚ¾òÌâÉèÖеÄÒþº¬Ìõ¼þ£®
Á·Ï°²áϵÁдð°¸
Ïà¹ØÌâÄ¿