题目内容
已知数列{an}中,a1=1,an+1=c-
。
(1)设c=
,bn=
,求数列{bn}的通项公式;
(2)求使不等式an<an+1<3成立的c的取值范围。
(1)设c=
(2)求使不等式an<an+1<3成立的c的取值范围。
解:(1)
,即
又
,故
所以
是首项为
,公比为4的等比数列
,
;
(2)a1=1,a2=c-1,由a2>a1得c>2
用数学归纳法证明:当c>2时,an<an+1
(i)当n=1时,a2=c-
>a1,命题成立;
(ii)设当n=k时,ak<ak+1,则当n=k+1时

故由(i)(ii)知当c>2时,an<an+1
当c>2时,令
由
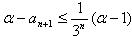
得an<α
当
时,an<α≤3
当
时,α>3,且1≤an<a,于是

当
时,α-an+1<α-3,an+1>3
因此
不符合要求
所以c的取值范围是
。
所以
(2)a1=1,a2=c-1,由a2>a1得c>2
用数学归纳法证明:当c>2时,an<an+1
(i)当n=1时,a2=c-
(ii)设当n=k时,ak<ak+1,则当n=k+1时
故由(i)(ii)知当c>2时,an<an+1
当c>2时,令
由
当
当
当
因此
所以c的取值范围是
练习册系列答案
相关题目
已知数列{an}中,a1=1,2nan+1=(n+1)an,则数列{an}的通项公式为( )
A、
| ||
B、
| ||
C、
| ||
D、
|