题目内容
若实数x,y满足
【答案】分析:先根据约束条件画出可行域,再利用几何意义求最值,z=x+2y表示直线在y轴上的截距,只需求出可行域直线在y轴上的截距最大值即可.
解答:
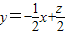
解:满足题中约束条件的可行域如图所示.
目标函数z=x+2y取得最大值,
即使得函数
在y轴上的截距最大.
结合可行域范围知,当其过点P(0,1)时,Zmax=0+2×1=2.
故答案为:2.
点评:本题考查简单线性规划,解题的重点是作出正确的约束条件对应的区域,根据目标函数的形式及图象作出正确判断找出最优解,
解答:
目标函数z=x+2y取得最大值,
即使得函数
结合可行域范围知,当其过点P(0,1)时,Zmax=0+2×1=2.
故答案为:2.
点评:本题考查简单线性规划,解题的重点是作出正确的约束条件对应的区域,根据目标函数的形式及图象作出正确判断找出最优解,
练习册系列答案
相关题目