题目内容
化简下列各式:
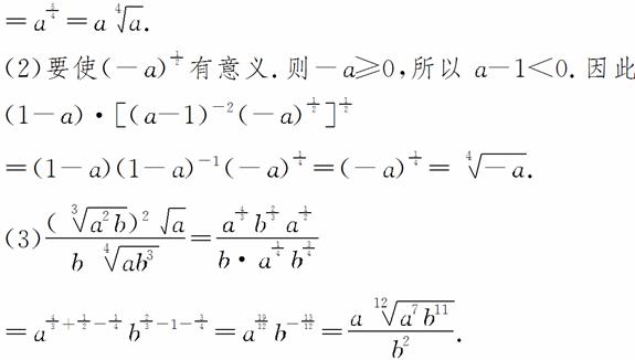
(1)·;
(2)(1-a)[(a-1)-2(-a) ];
(3).
(本小题满分14分,每小题7分)
(1) ; (2) .
(1)++;
(2)++;
(3)++++.
(1);(2).