题目内容
已知函数f(x)=ax-1n(1+x2)(1)当
(2)证明:当x>0时,1n(1+x2)<x;
(3)证明:
【答案】分析:(1)当
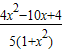
时,先求出f′(x)=
=
,再由f′(x)=0,得
,x2=2,由此能求出当
时,求函数f(x)在(0,+∞)上的极值.
(2)令g(x)=x-ln(1+x2),
=
≥0,故g(x)在(0,+∞)上是增函数,由此能够证明当x>0时,1n(1+x2)<x.
(3)由ln(x2+1)<x,取x=
,
,…,
,能够证明
,其中e为自然对数的底数).
解答:(1)解:当
时,f(x)=
,
∴f′(x)=
=
,
由f′(x)=0,得
,x2=2,
∵f(x)在(0,
)上递增,在(
,2)递减,在(2,+∞)递增,
∴f(x)极大值为f(
)=
,f(x)极小值为f(2)=
.
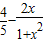
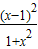
(2)证明:令g(x)=x-ln(1+x2),
=
≥0,
∴g(x)在(0,+∞)上是增函数,
∴g(x)>g(0)=0,
∴ln(1+x2)<x.
(3)证明:由(2)得ln(x2+1)<x,
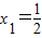
取x=
,
,…,
,
∴ln(1+
)+ln(1+
)+…+ln(1+
)
<
+
+…+
=(1-
)+(
)+…+(
)
=1-
<1,
∴
,其中e为自然对数的底数).
点评:本题考查函数的极值的求法,考查不等式的证明,综合性强,难度大,具有一定的探索性,解题时要认真审题,仔细解答,注意等价转化思想和分类讨论思想的合理运用.
(2)令g(x)=x-ln(1+x2),
(3)由ln(x2+1)<x,取x=
解答:(1)解:当
∴f′(x)=
由f′(x)=0,得
∵f(x)在(0,
∴f(x)极大值为f(
(2)证明:令g(x)=x-ln(1+x2),
∴g(x)在(0,+∞)上是增函数,
∴g(x)>g(0)=0,
∴ln(1+x2)<x.
(3)证明:由(2)得ln(x2+1)<x,
取x=
∴ln(1+
<
=(1-
=1-
∴
点评:本题考查函数的极值的求法,考查不等式的证明,综合性强,难度大,具有一定的探索性,解题时要认真审题,仔细解答,注意等价转化思想和分类讨论思想的合理运用.
练习册系列答案
相关题目