题目内容

在一场娱乐晚会上, 有5位民间歌手(1至5号)登台演唱, 由现场数百名观众投票选出最受欢迎歌手. 各位观众须彼此独立地在选票上选3名选手, 其中观众甲是1号歌手的歌迷, 他必选1号, 不选2号, 另在3至5号中随机选2名. 观众乙和丙对5位歌手的演唱没有偏爱, 因此在1至5号中随机选3名歌手.

   (Ⅰ) 求观众甲选中3号歌手且观众乙未选中3号歌手的概率;

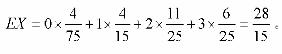
    (Ⅱ) X表示3号歌手得到观众甲、乙、丙的票数之和, 求X的分布列和数学期望.

练习册系列答案
相关题目

违法和不良信息举报电话:027-86699610 举报邮箱:58377363@163.com

精英家教网