题目内容
求下列函数的导数.
(1)y=x2sinx;
(2)y=
;
(3) y=log2(2x2+3x+1).
(1)y=x2sinx;
(2)y=
(3) y=log2(2x2+3x+1).
解:(1)y′=(x2)′sinx+x2(sinx)′=2xsinx+x2cosx;
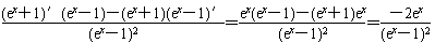
(2)y′=
;
(3)设y=log2u,u=2x2+3x+1,
则y′x=y′u·u′x=
(4x+3)=
。
(2)y′=
(3)设y=log2u,u=2x2+3x+1,
则y′x=y′u·u′x=
练习册系列答案
相关题目