题目内容
已知函数
(ω>0)的最小正周期为π.
(Ⅰ)求ω的值;
(Ⅱ)求函数f(x)在区间
上的取值范围.
(Ⅰ)求ω的值;
(Ⅱ)求函数f(x)在区间
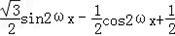
解:(Ⅰ)
=
=
.
∵函数f(x)的最小正周期为π,且ω>0,
∴
,解得ω=1.
(Ⅱ)由(Ⅰ)得
.
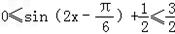
∵
,
∴
,
∴
.
∴
,
即f(x)的取值范围为
.
∵函数f(x)的最小正周期为π,且ω>0,
∴
(Ⅱ)由(Ⅰ)得
∵
∴
∴
∴
即f(x)的取值范围为
练习册系列答案
相关题目