题目内容

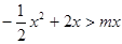
关于的不等式的解集为则实数        .

 

【答案】

1

【解析】

试题分析:利用关于x的不等式的解集是,可得方程的两根为0和2,直接代入可求得m的值.

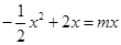
解:关于的不等式的解集为则方程

的根为0和2,把代入方程得:

,解得

考点:一元二次不等式的应用.

点评:本题考查一元二次不等式与所对应的二次方程关系,同时转化能力,属于基础题.

 

练习册系列答案
相关题目

违法和不良信息举报电话:027-86699610 举报邮箱:58377363@163.com

精英家教网